您想了解破碎機設備相關資料,信息,可填寫您的需求,或通過在線咨詢,電子郵件,電話(同微信)與我們聯系。
齒輥轉速直接影響到破碎機的性能。該破碎機的沖擊破碎與剪切拉伸破碎相結合的破碎原理,沖擊破碎可使物料獲得較大的破碎功,剪切拉伸破碎又可使物料沿本身存在的晶格缺陷和紋理缺陷的方向破碎,既節省了破碎功耗,又大大增加了物料的破碎比。試驗表明,該種齒輥破碎機的齒輥線速度在20~30 m/s之間時效果較好。
雙齒輥破碎機簡介
【進料粒度】:20--500mm
【生產能力】:10--800噸/小時
【應用范圍】:焦炭破碎,煤矸石及塊煤的破碎機
【產品介紹】:齒輥破碎機因為廣泛用于焦炭破碎,又稱破焦機,擠焦機,齒輥碎煤機,齒輥破碎機產量大,能耗低,出料粉狀少。

雙齒輥破碎機又稱為2PGC破碎機,屬雙輥機類型,輥面形狀可分為粗細齒輥,可按照物料需要的尺寸進行調節式生產,適于脆性和松軟物料的。雙齒輥破碎機常用于燒結礦、煤炭、水泥、硅酸鹽、玻璃、陶瓷等行業,主要是針對礦石的中細碎作業。
雙齒輥式破碎機采用沖擊破碎與剪切拉伸相結合的破碎原理,兩破碎齒輥采用差速設計,可解決齒輥破碎機難破碎濕粘物料的問題。在雙齒輥破碎機的設計過程中,要合理選擇其工作參數,具體方法如下文介紹。
雙齒輥破碎機的設計工作參數
1、齒輥轉速
齒輥轉速直接影響到破碎機的性能。該破碎機的沖擊破碎與剪切拉伸破碎相結合的破碎原理,沖擊破碎可使物料獲得較大的破碎功,剪切拉伸破碎又可使物料沿本身存在的晶格缺陷和紋理缺陷的方向破碎,既節省了破碎功耗,又大大增加了物料的破碎比。試驗表明,該種齒輥破碎機的齒輥線速度在20~30 m/s之間時效果較好。
2、破碎比分配
為滿足大破碎比的要求,將設備設計為上下兩段破碎腔,上下段破碎比按下式計算:
式中:i1 為上段破碎比;i2為下段破碎比;N1為上段安裝功率; N2為下段安裝功率。
3、裝機功率
破碎機的功率為安裝功率的50%~80%時,破碎機的運轉 佳,故障 少。
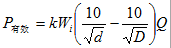
,式中P電機 為裝機功率(kW),P 為齒輥破碎功率(kW)。功率的計算按第三破碎理論,即:
,式中k是系數,細碎時一般取1;Wi是功指數(kW.h/t);d是出料粒度直徑(um);D是入料粒度直徑(um),Q是生產能力(t/h)。
4、齒輥直徑的
現在較常用的經驗為,齒輥直徑與入料粒度之比為:φ/D≥0.8~1.5。

5、齒輥長度L
破碎硬物料時,L/φ=0.3~0.7;破碎軟物料時,L/φ=1.25~2.5。
以上就是對雙齒輥破碎機的設計工作參數介紹,大家可以詳細了解。河南中譽鼎力是的礦山破碎機廠家,我們公司一向對設備質量的重視,因此都是采用好的材質來生產破碎機設備,使其設備有著強的和抗沖擊性能,因此設備的質量是很有的。
單輥破碎機怎么樣?單輥破碎機的出料粒徑不停是消費者重視的困擾之一,多生產廠商生產的單輥破碎機的出料粒徑不勻稱,嚴重導致了產品的質量,為此,中譽鼎力對于這
圓錐破碎機的粉碎巖石的原理是因為其由于錐軸的轉動,持續的進行礦石的粉碎,這類運行原理造成圓錐式打石機相對其余礦用粉碎機械有了更高的生產效能,偏低的板材的磨損
【華洋圓錐破碎機主軸斷裂有何解決辦法?】華洋圓錐破碎機是硬料處置常見的機械,出料顆粒好、加工能力大、壽命長是其亮點,但在平時運用中不留意可能會導致一部分故障,今
【安徽圓錐式破碎機工作效率如何提高?】安徽圓錐式破碎機通過的更換換代,不管是整體的結構,還是內部構件都獲得了相當高的程度,安徽圓錐式破碎機之因此生產能力大,
如鄂破粉碎比大,粉碎能力強,使用各種石頭,多用于頭端破碎;重型錘式破碎機一次成型,簡化了粉碎順序,經濟,適合石灰石等硬度不高的石頭;復合式破碎機傘狀式的入料
【小顎式破碎機軸承潤滑_密封】做好軸承的保養,可以增長小顎式破碎機軸承的使用時間,而對于軸承的保養來講,重要的兩點就是潤滑與密封,下面我們來看一下小顎式破碎機
一體化機組設備安裝形式,解決了分體組件的繁雜場所根基設施安裝作業,下降了物料、工時消耗,機組成理緊湊的間隙布局,較高了場所駐扎的靈動性。輪胎移動破碎機長度短,不
時產200噸的圓錐破有SC160SC1單缸液壓圓錐破,時產125~345噸,HP400多缸圓錐破時產200噸左右,都可以滿足時產200噸的生產需求,關于時產20
您想了解破碎機設備相關資料,信息,可填寫您的需求,或通過在線咨詢,電子郵件,電話(同微信)與我們聯系。